Lying Meadow Park?

Rhubarb & Crumble on TOUR

 Two OAP’s who have been lied to and sxxt on by the Lenchford Meadow Caravan Park.

So once again we peacefully protested outside the LYING Meadow Caravan Park.

WHY – For Justice against the miselling of our caravan, broken promises and above all our dreams quashed and smashed.

Pie eaten, onto Malvern Hills District Council to peacefully protest.

WHY – The Council+ were informed of our plight, harassment, bullying and intimidation by the park owner on numerous occasions. We were falsely evicted and believe the Council had a duty of care and respect to OAP’s.

Malvern Hills District Council only LOOK AFTER THEIR OWN.

Tea & Scones, onto the planning office at Wychavon Council.

WHY- They issue the HOLIDAY licence to the Lying Meadow Caravan Park knowing there are residential plots on the site who are paying Council Tax etc. with no explanation as to why it is not classified as a mixed park and therefore be a protected site with the owner and her manager having to undertake a fit & proper person assessment!

PLANNING LOOK AFTER THEIR OWN.

 Thank you all for your support it is greatly appreciated, thank you for your support for previous owners, GOD BLESS YOU, VIVA HPAG.

“The Government is aware that holiday caravans are sometimes mis-sold to consumers as permanent residential homes.”

Department for Levelling Up, Housing & Communities 18th December 2023

Can Park Owners Stoop any Lower?

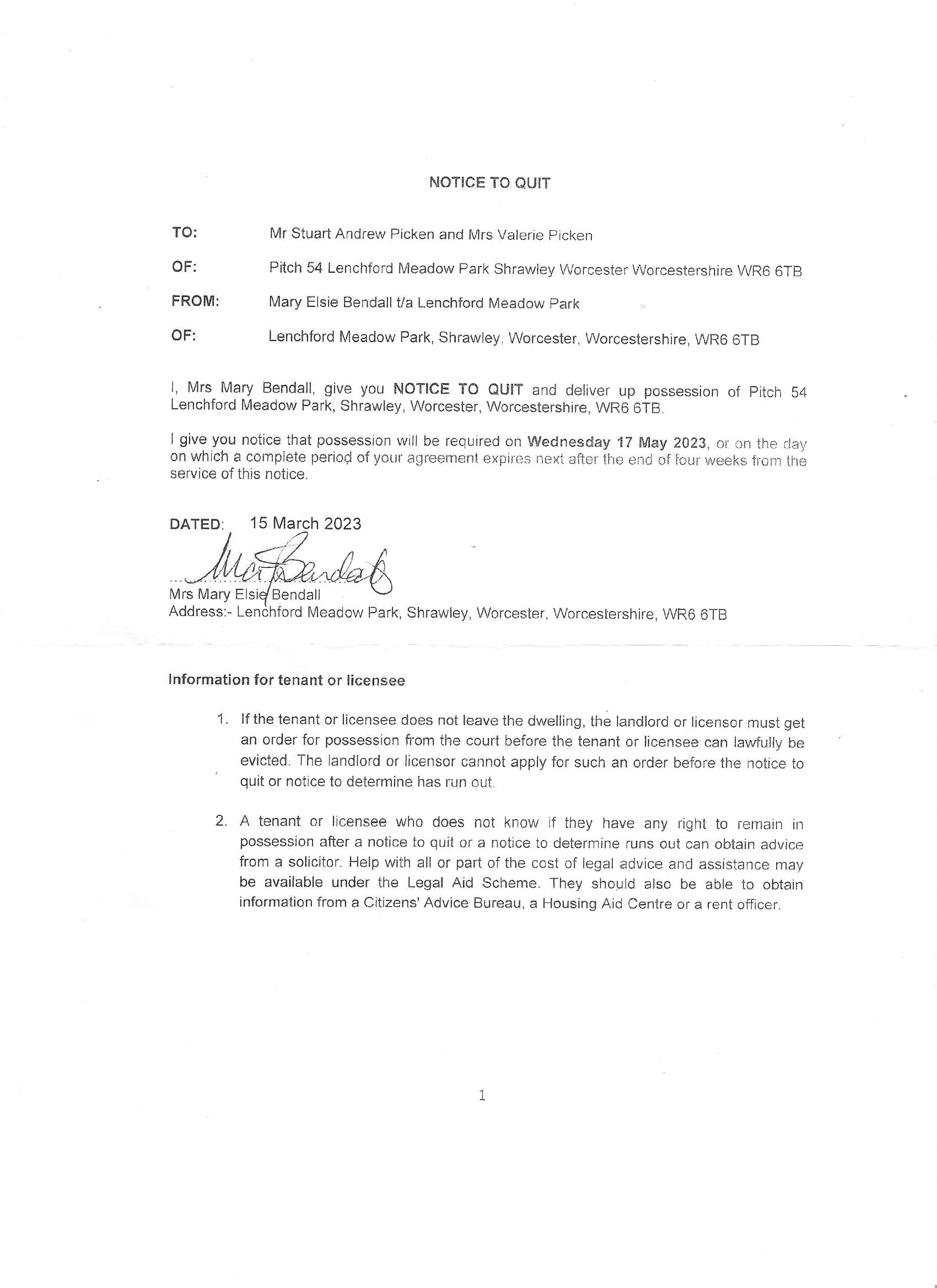
  No longer content with illegally bullying, harassing and threatening Stuart and Valerie Picken for financial gain, 15% +vat commission on resales, Mary Bendall has now turned her attention to Valerie’s dying brother Philip Wills.

Philip has terminal bladder cancer which has spread to his lymph nodes. Philip’s initial prognosis was pretty bleak and he asked if he could spend whatever time he had left with his sister.

Valerie did not hesitate in helping Philip and immediately took him into her care.

No one really knows how long Philip has left but Valerie and Stuart wanted to make whatever time he does have as comfortable and enjoyable as possible.

However, despite Philip having to deal with extensive medical and emotional issues due to his terminal cancer diagnosis, a recent letter from Mary Bendall’s solicitor has caused even more trauma and anguish for Philip since he now believes he is causing trouble for his sister and brother in-law merely because of his presence.

Worcester NHS, St. Richard’s Hospice and Dr Gemma Moore’s team at Ombersley Medical Centre have been brilliant in what they are doing for Philip and cannot be thanked enough for their help and support in the way they have looked after Philip as a new patient.  Unfortunately, the same cannot be said of a so called upstanding member of the community, Mary Bendall, who could not have been more unhelpful and to be quite frank, wholly despicable towards a dying guest.

This is so because even after Valerie informed Mary Bendall’s son and site manager John Bendall of her brother’s prognosis and John kindly agreed to hold Philip’s mail in the park office to be collected, the callous Mary Bendall instructed her morally complicit solicitor Tozers LLP to write their 12th letter of harassment to Valerie and Stuart.

Section 8 of this letter states, ‘Finally, our client tells us that you have a visitor staying with you. That visitor has been requesting his post from the park office. This behaviour is not permitted. No one should have their post delivered to the Park, because it is a holiday park…..In other words you cannot have hospital appointments delivered to where you are spending the last moments of your Life!

It is honest opinion that Tozers LLP are morally complicit in Mary Bendall and her representatives illegal behaviour towards Valerie and Stuart, and others on Lenchford Meadow Park.  This is because Tozers LLP were informed of Valerie and Stuart’s residential status over two years ago and Mary Bendall and Tozers LLP have failed to reply to six letters from Valerie and Stuart explaining what was agreed when they purchased their lodge and is legally binding. Mary Bendall and Tozers LLP have also failed to follow the park’s own disputes procedure.

Tozers LLP should know better since they are also solicitors to the BH&HPA – the British Holiday and Home Parks Association. But guess who runs the BH&HPA? yes, the Park owners! And guess who provides guidelines for the Park owners? yes the BH&HPA!  And guess who regulates the industry, yes, the industry is self regulating by the BH&HPA and Tozers LLP. Therefore, it is no coincidence that many park owners are emboldened to do what they do for financial gain in this poorly regulated industry.

Even where regulation does exist to help vulnerable people, such as Section 5 of the Caravan Sites Act 1960, local councils fail miserably to attach conditions to site licences to prevent criminal activities of park owners and local elected councillors fail miserably to hold paid officers of councils to account for not attaching conditions to site licences.  The Police have tried to help but the Police become powerless to help unless local councils do what they should do to help prevent crime.

What Valerie, Stuart, Philip and others on Lenchford Meadow Park are experiencing is not uncommon, it is a national issue. See the following links and draw your own conclusions:
https://lenchfordmeadowparkoccupiers.co.uk/
https://www.facebook.com/groups/1488700298019076

Many victims are afraid to talk about their experiences with park owners since park owners control the flow of funds of purchases and sales, and victims do not want to put their life savings at risk. Harriett Baldwin MP and Nicola Richards MP are aware of this and they are also aware what is happening generally at Lenchford Meadow Park. However, Harriett and Nicola are not aware of this latest episode regarding a dying victim and this commentary is designed to inform them and the public, and is another rallying cry for help!

Kind regards,

Cllr. Stuart Picken 28th July 2023

False Accusations of Trespass!

62 Grove Vale Avenue
Great Barr
Birmingham
B43 6BZ

28th July 2023

Dear All,

On 26th July we were invited to attend Madresfield Court in Malvern, the ancestral home of the charming and welcoming Beauchamp Family.

We also met our respected MP, Harriett Baldwin, who held Boris Johnson to account over his misleading and untruths to the House and the public.

We also met our local parish councillor, Stuart Picken, a man of integrity and we also met The Right Honourable MP, Penny Mordant, who carried the Sword of Mercy during the coronation of King Charles III and unknown to the rest of the public did so until the last minute in her comfy fluffy slippers. (A true Story)

We listened in awe to her speech as she spoke of integrity, values, against bullying whether by words or actions.

What a Woman!!!

We then received an email at 21.54 pm the same evening from Tozers LLP, the solicitors of the owner of the LMCP, enclosing a letter of action against us for TRESPASS. We have a caravan on plot 16 at the LMCP.

We have paid our site fees on 30th December 2022 for the year and have paid all bills when requested. We have a contract.

On 26th July 2023 at 21.54pm we became Criminals.

We are law abiding, old age pensioners; even Nigel Farage has been treated better than us.

Surely as Senior Citizens and Grandparents who want to see their days out in the beautiful, peaceful village of Shrawley, we should not be classed as criminals and accused of trespass – Shame on the LMCP – SHOCKING.

Yours sincerely

Steve & Anita Lea

Dear all,  Stewart Bumstead has kindly shared his experiences with everyone:
“My name is Stewart Bumstead, was plot 20.  My caravan on Lenchford Meadow Park was just 20 years old and I feel that I was bullied and harassed to leave the park within three weeks and to take all the decking and surrounding areas and to have the areas ready and clean for the caravan to be removed by the 15th of December.  All this must be done within the three weeks notice in sub zero temperatures, -6 degrees I can recall on one day.  As I’m 69 years old this became very hard work.  A so called farmer was buying my van and wanted it for the 15th of December.  My caravan was up for sale 10 years ago for 23k and after 10 years I got £1,300 for it off the site owner.  The reason they gave why I had to remove it was that my caravan was 20 years old.  I’ve been to the site in April 2023 and counted that there’s still at least 12 caravans older than mine that are still on site.  15th of December came and went and my caravan was still on the park in February.  I know this because I fitted a tracker on it.

 SO YES I was bullied and harassed into selling my caravan. 

One unhappy customer on this park!”

Useful links

Aims of the Association:

To represent the shared views of owner-occupiers’ and to work with park management to aid the development and running of the park to the mutual benefit of caravan, lodge and park home owners and the park owner

What we offer:

  • Regular Meetings to give each and every member a voice.
  • Sharing of important documents & information.
  • A platform to raise any issues you might have.
  • Newsletters covering any park issues and developments.
  • Confidentially of all members.

JOIN US

Fill out the form below and someone will get back to you as soon as we can!